“KEMISKINAN
DAN KESENJANGAN”
A. Konsep dan Definisi Kemiskinan
Permasalahan Pokok.
Masalah pokok Negara berkembangè
Kesenjangan ekonomi atau ketimpangan distribusi pendapatan atau tingkat
kemiskinan atau jumlah orang yang hidup dibawah garis kemiskinan
Kebijakan dan perencanaan pembangunan Orde
Baru adalah pembangunan dipusatkan di Jawa (khususnya diJakarta) dengan harapan
akan terjadi “Trickle Down Effect” dengan orientasi pada pertumbuhan yang
tinggi.
Strategi Pembangunan.
Pada awal pemerintah orde baru percaya bahwa
proses pembangunan ekonomi akan menghasilkan Trikle down effectè Hasil
pembangunan akan menetes ke sector-sektor lain dan wialayah Indonesia lainnya.
·
Fokus
pembangunan ekonomi pemerintahè Mencapai laju pertumbuhan ekonomi yg tinggi
dalam waktu yang singkat melalui pembangunan pada:
a. Wilayah yang memiliki fasilitas yang
relative lengkap (pelabuhan, telekomunikasi, kereta api, kompleks industri,
dll) yakni di P. Jawa khsususnya Jawa Barat.
b. Sektor-sektor tertentu yang memberikan nilai
tambah yang tinggi.
·
Hasil strategi pembangunanè Kurang efektif.
a. 1980 – 1990è Laju pertumbuhan
ekonomi (PDB) tinggi
b. Kesenjangan semakin besar (jumlah orang
miskin semakin banyak)
Perubahan
strategi pembangunan
Berdasarkan hasil pembangunan tsb, mulai
PELITA 3 pemerintah merubah tujuannya menjadi mencapai pertumbuhan dan
kesejahteraan masyarakat.
·
Strategiè a. Konsentrasi pembangunan diseluruh
Indonesia. b. Pembangunan untuk
seluruh sektorè pengembangan sektor
pertanian melalui berbegai program seperti transmigrasi, industri padat karya,
industri rumah tangga.
Konsep dan Difinisi.
Pengukuran Kemiskinanè a. Kemiskinan relatifè Konsep yg mengacu pada
garis kemiskinan yakni ukuran kesenjangan dalam distribusi pendapatan. Kemiskinan relatifè proporsi dari tingkat pendapatan rata-rata.
b. Kemiskinan absolute (ekstrim) è Konsep
yg tidak mengacu pada garus kemiskinan yakni derajad kemiskinan dibawah dimana
kebutuhan minimum untuk bertahan hidup tidak terpenuhi.
Kemiskinan adalah keadaan
dimana terjadi ketidakmampuan untuk memenuhi kebutuhan dasar seperti makanan ,
pakaian , tempat berlindung, pendidikan, dan kesehatan. Kemiskinan dapat
disebabkan oleh kelangkaan alat pemenuh kebutuhan dasar, ataupun sulitnya akses
untuk mendapatkan pendidikan dan pekerjaan untuk memenuhi kebutuhan tersebut.
Menurut Nasikun (1995),
“Kemiskinan adalah sebuah fenomena multifaset, multidimensional, dan terpadu.
Hidup miskin bukan hanya berarti hidup di dalam kondisi kekurangan sandang,
pangan, dan papan. Hidup dalam kemiskinan seringkali juga berarti akses yang
rendah terhadap berbagai ragam sumber daya dan aset produktif yang sangat
diperlukan untuk dapat memperoleh sarana pemenuhan kebutuhan hidup yang paling
dasar, antara lain : Informasi, ilmu
pengetahuan, teknologi dan, kapital. Lebih dari itu, hidup dalam kemiskinan
sering kali juga berarti hidup dalam alienasi, akses yang rendah terhadap
kekuasaan, dan oleh karena itu pilihan- pilihan hidup yang sempit dan pengap”.
B. Garis Kemiskinan
Garis kemiskinan atau batas
kemiskinan adalah tingkat minimum pendapatan yang dianggap perlu dipenuhi untuk memperoleh standar hidup yang mencukupi di suatu negara. Dalam praktiknya,
pemahaman resmi atau umum masyarakat mengenai garis kemiskinan (dan juga
definisi kemiskinan)
lebih tinggi di negara maju daripada
di negara berkembang.
Rumus Penghitungan :
GK = GKM + GKNM
GK = Garis Kemiskinan
GKM = Garis Kemiskinan Makanan
GKNM = Garis Kemiskinan Non Makan
GKM = Garis Kemiskinan Makanan
GKNM = Garis Kemiskinan Non Makan
Teknik penghitungan GKM
- Tahap pertama adalah menentukan kelompok referensi
(reference populaion) yaitu 20 persen penduduk yang berada diatas Garis
Kemiskinan Sementara (GKS). Kelompok referensi ini didefinisikan sebagai
penduduk kelas marginal. GKS dihitung berdasar GK periode sebelumnya yang
di-inflate dengan inflasi umum (IHK). Dari penduduk referensi ini kemudian
dihitung Garis Kemiskinan Makanan (GKM) dan Garis Kemiskinan Non-Makanan
(GKNM).
- Garis Kemiskinan Makanan (GKM) adalah jumlah nilai pengeluaran dari 52 komoditi dasar makanan yang riil dikonsumsi penduduk referensi yang kemudian disetarakan dengan 2100 kilokalori perkapita perhari. Patokan ini mengacu pada hasil Widyakarya Pangan dan Gizi 1978. Penyetaraan nilai pengeluaran kebutuhan minimum makanan dilakukan dengan menghitung harga rata-rata kalori dari ke-52 komoditi tersebut. Formula dasar dalam menghitung Garis Kemiskinan Makanan (GKM) adalah :
Dimana :
GKMj = Gris Kemiskinan Makanan daerah j (sebelum disetarakan
menjadi 2100 kilokalori).
Pjk = Harga komoditi k di daerah j.
Qjk = Rata-rata kuantitas komoditi k yang dikonsumsi di daerah j.
Vjk = Nilai pengeluaran untuk konsumsi komoditi k di daerah j.
j = Daerah (perkotaan atau pedesaan)
Pjk = Harga komoditi k di daerah j.
Qjk = Rata-rata kuantitas komoditi k yang dikonsumsi di daerah j.
Vjk = Nilai pengeluaran untuk konsumsi komoditi k di daerah j.
j = Daerah (perkotaan atau pedesaan)
Selanjutnya GKMj tersebut
disetarakan dengan 2100 kilokalori dengan mengalikan 2100 terhadap harga
implisit rata-rata kalori menurut daerah j dari penduduk referensi, sehingga :
Kjk = Kalori dari komoditi k di daerah j
HKj = Harga rata-rata kalori di daerah j
HKj = Harga rata-rata kalori di daerah j
Dimana :
Fj = Kebutuhan minimum makanan di daerah j, yaitu yang menghasilkan energi setara dengan 2100 kilokalori/kapita/hari.
Fj = Kebutuhan minimum makanan di daerah j, yaitu yang menghasilkan energi setara dengan 2100 kilokalori/kapita/hari.
- Garis Kemiskinan Non Makanan (GKNM) merupakan
penjumlahan nilai kebutuhan minimum dari komoditi-komoditi non-makanan
terpilih yang meliputi perumahan, sandang, pendidikan dsan kesehatan.
Pemilihan jenis barang dan jasa non makanan mengalami perkembangan dan
penyempurnaan dari tahun ke tahun disesuaikan dengan perubahan pola
konsumsi penduduk. Pada periode sebelum tahun 1993 terdiri dari 14
komoditi di perkotaan dan 12 komoditi di pedesaan. Sejak tahun 1998
terdiri dari 27 sub kelompok (51 jenis komoditi) di perkotaan dan 25 sub
kelompok (47 jenis komoditi) di pedesaan. Nilai kebutuhan minimum
perkomoditi /sub-kelompok non-makanan dihitung dengan menggunakan suatu
rasio pengeluaran komoditi/sub-kelompok tersebut terhadap total
pengeluaran komoditi/sub-kelompok yang tercatat dalam data Susenas modul
konsumsi. Rasio tersebut dihitung dari hasil Survei Paket Komoditi
Kebutuhan Dasar 2004 (SPKKP 2004), yang dilakukan untuk mengumpulkan data
pengeluaran konsumsi rumah tangga per komoditi non-makanan yang lebih rinci
dibanding data Susenas Modul Konsumsi. Nilai kebutuhan minimum non makanan
secara matematis dapat diformulasikan sebagai berikut :
Dimana:
NFp = Pengeluaran minimun non-makanan atau garis kemiskinan non makanan daerah p (GKNMp).
Vi = Nilai pengeluaran per komoditi/sub-kelompok non-makanan daerah p (dari Susenas modul konsumsi).
ri = Rasio pengeluaran komoditi/sub-kelompok non-makanan menurut daerah (hasil SPPKD 2004).
i = Jenis komoditi non-makanan terpilih di daerah p.
p = Daerah (perkotaan atau pedesaan).
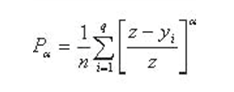
1. Persentase Penduduk Miskin
Konsep :
Head Count Index (HCI-P0), adalah persentase penduduk yang berada dibawah Garis Kemiskinan (GK).
Sumber Data :
Sumber data utama yang dipakai adalah data Survei Sosial Ekonomi Nasional (Susenas) Panel Modul Konsumsi dan Kor.
Rumus Penghitungan :
Dimana :
α = 0
z = garis kemiskinan.
yi = Rata-rata pengeluaran per kapita sebulan penduduk yang berada dibawah garis kemiskinan (i=1, 2, 3, ...., q), yi < z
q = Banyaknya penduduk yang berada di bawah garis kemiskinan.
n = jumlah penduduk.
2. Indeks Kedalaman Kemiskinan
Konsep :
Sumber Data :
Sumber
data utama yang dipakai adalah data Survei Sosial Ekonomi Nasional (Susenas)
Panel Modul Konsumsi dan Kor.
Rumus Penghitungan :
Dimana :
α = 1
z = garis kemiskinan.
yi = Rata-rata pengeluaran per kapita sebulan penduduk yang berada dibawah garis kemiskinan (i=1, 2, 3, ...., q), yi < z
q = Banyaknya penduduk yang berada di bawah garis kemiskinan.
n = jumlah penduduk.
3. Indeks Keparahan Kemiskinan
Konsep :
Konsep :
Indeks
Keparahan Kemiskinan (Proverty Severity Index-P2) memberikan gambaran mengenai
penyebaran pengeluaran diantara penduduk miskin. Semakin tinggi nilai indeks,
semakin tinggi ketimpangan pengeluaran diantara penduduk miskin.
Sumber Data :
Sumber
data utama yang dipakai adalah data Survei Sosial Ekonomi Nasional (Susenas)
Panel Modul Konsumsi dan Kor.
Rumus Penghitungan :
Dimana :
α = 2
z = garis kemiskinan.
yi = Rata-rata pengeluaran per kapita sebulan penduduk yang berada dibawah garis kemiskinan (i=1, 2, 3, ...., q), yi < z
q = Banyaknya penduduk yang berada di bawah garis kemiskinan.
n = jumlah penduduk.
α = 2
z = garis kemiskinan.
yi = Rata-rata pengeluaran per kapita sebulan penduduk yang berada dibawah garis kemiskinan (i=1, 2, 3, ...., q), yi < z
q = Banyaknya penduduk yang berada di bawah garis kemiskinan.
n = jumlah penduduk.
C.
Penyebab dan Dampak
Kemiskinan
Kemiskinan merupakan suatu
fenomena yang sering ditemui, entah itu di negara maju atau pun di negara
berkembang seperti Indonesia. Banyaknya masalah kemiskinan di Indonesia ini
tentunya di sebabkan oleh beberapa faktor pemicu. Dari faktor pemicu inilah
akan tercipta suatu dampak kemiskinan. D
ampak dari kemiskinan
terhadap masyarakat umumnya begitu banyak dan kompleks.
Menurut
Sharp et al. (2000), kemiskinan terjadi dikarenakan beberapa sebab yaitu:
·
Rendahnya kualitas angkatan kerja.
·
Akses yang sulit terhadap kepemilikan.
·
Rendahnya masyarakat terhadap penguasaan
teknologi.
·
Penggunaan sumber daya yang tidak efisien.
·
Tingginya pertumbuhan penduduk.
Dampak
akibat kemiskinan yang terjadi di Indonesia, sebenarnya begitu banyak dan
sangat kompleks. Diantaranya adalah:
1. Penggangguran.
Jumlah
pengganguran yang terjadi pada awal tahun 2011 mencapai 8,12 juta orang. Angka
penggangguran ini cukup fantatis, mengingat krisis multidimensional yang sedang
dihadapi oleh bangsa saat ini. Banyaknya penggangguran, berarti mereka tidak
bekerja dan otomatis mereka tidak mendapatkan penghasilan. Dengan tidak bekerja
dan tidak mendapatkan penghasilan, mereka tidak data memenuhi kebutuhan
hidupnya. Secara otomatis, pengangguran menurunkan daya saing dan beli
masyarakat.
2. Kekerasan.
Kekerasan
yang terjadi biasanya disebabkan karena efek pengangguran. Karena seseorang
tidak mampu lagi mencari nafkah yang benar dan halal.
3. Pendidikan.
Mahalnya
biaya pendidikan, mengakibatkan masyarakat miskin tidak dapat menjangkau dunia
sekolah atau pendidikan. Akhirnya, kondisi masyarakat miskin semakin terpuruk
lebih dalam. Tingginya tingkat putus sekolah berdampak pada rendahnya tingkat
pendidikan seseorang. Ini akan menyebabkan bertambahnya pengangguran akibat
tidak mampu bersaing di era globalisasi yang menuntut keterampilan di segala
bidang.
4. Kesehatan.
Biaya
pengobatan yang terjadi pada klinik pengobatan bahkan rumah sakit swasta besar
sangat mahal dan biaya pengobatan tersebut tidak terjangkau oleh kalangan
masyarakat miskin.
5. Konflik
sosial bernuansa SARA.
Konflik
SARA terjadi karena ketidakpuasan dan kekecewaan atas kondisi kemiskinan yang
semakin hari semakin akut. Hal ini menjadi sebuah bukti lain dari kemiskinan
yang kita alami. Terlebih lagi fenomena bencana alam yang sering terjadi di
negeri ini, yang berdampak langsung terhadap meningkatnya angka kemiskinan.
semuanya terjadi hamper merata di setiap daerah di Indonesia, baik di pedesaan
maupun diperkotaan.
faktor-faktor yang menjadi
penyebab kemiskinan tersebut. Faktor-faktor yang menjadi penyebab kemiskinan
antara lain :
a. Tingkat pendidikan masyarakat yang rata-rata rendah.
b. Cara berpikir yang masih tradisional dan konservatif.
c. Apatis dan anti hal-hal baru.
d. Mentalitas dan etos kerja yang kurang baik.
e. Keadaan alam yang kurang mendukung.
f. Keterisoliran secara geografis dari pusat.
g. Tiadanya potensi atau produk andalan.
h. Rendahnya kinerja dan budaya korup aparatur pemerintah daerah.
a. Tingkat pendidikan masyarakat yang rata-rata rendah.
b. Cara berpikir yang masih tradisional dan konservatif.
c. Apatis dan anti hal-hal baru.
d. Mentalitas dan etos kerja yang kurang baik.
e. Keadaan alam yang kurang mendukung.
f. Keterisoliran secara geografis dari pusat.
g. Tiadanya potensi atau produk andalan.
h. Rendahnya kinerja dan budaya korup aparatur pemerintah daerah.
D.
Pertumbuhan, Kesenjangan dan
Kemiskinan.
Data 1970 – 1980 menunjukkan ada korelasi
positif antara laju pertumbuhan dan tingkat kesenjangan ekonomi. Semakin tinggi
pertumbuhan PDB/pendapatan perkapita, semakin besar perbedaan sikaya dengan
simiskin.
Penelitian di Asia Tenggara oleh Ahuja, dkk
(1997) menyimpulkan bahwa selama periode 1970an dan 198an ketimpangan
distribusi pendapatan mulai menurun dan stabil, tapi sejak awal 1990an
ketimpangan meningkat kembali di LDC’s
dan DC’s seperti Indonesia, Thaliland, Inggris dan Swedia.
Janti (1997) menyimpulkan è
semakin besar ketimpangan dalam distribusi pendapatan disebabkan oleh pergeseran
demografi, perubahan pasar buruh, dan perubahan kebijakan publik. Perubahan
pasar buruh ini disebabkan oleh kesenjangan pendapatan dari kepala keluarga dan
semakin besar saham pendapatan istri dalam jumlah pendapatan keluarga.
Hipotesis Kuznetsè ada korelasi
positif atau negatif yang panjang antara tingkat pendapatan per kapita dengan
tingkat pemerataan distribusi pendapatan.
Dengan data cross sectional (antara negara)
dan time series, Simon Kuznets menemnukan bahwa relasi kesenjangan pendapatan
dan tingkat pendapatan perkapita berbentuk U terbalik.
Hasil ini menginterpretasikan: Evolusi
distribusi pendapatan dalam proses transisi dari ekonomi pedesaan ke ekonomi
perkotaan (ekonomi industri) è Pada
awal proses pembangunan, ketimpangan distribusi pendapatan naik sebagai akibat
proses urbanisasi dan industrialisasi dan akhir proses pembangunan, ketimpangan
menurun karena sektor industri di kota sudah menyerap tenaga kerja dari desa atau produksi atau penciptaan
pendapatan dari pertanian lebih kecil.
Banyak studi untuk menguji hipotesis Kuznets
dengan hasil:
a.
Sebagian
besar mendukung hipotesis tersebut, tapi sebagian lain menolak
b. Hubungan positif pertumbuhan ekonomi dan
distribusi pendapatan hanya dalam jangka panjang dan ada di DC’s
c. Kurva bagian kesenjangan (kiri) lebih tidak
stabil daripada porsi kesenjangan menurun sebelah kanan.
Deininger dan Squire (1995) dengan data deret
waktu mengenai indeks Gini dari 486 observasi dari 45 LDC’s dan DC’s (tahun
1947-1993) menunjukkan indeks Gini berkorelasi positif antara tahun 1970an
dengan tahun 1980an dan 1990an.
Anand dan Kanbur (1993) mengkritik hasil
studi Ahluwalia (1976) yang mendukung hipotesis Kuznets. Keduanya menolak
hipotesis Kuznets dan menyatakan bahwa distribusi pendapatan tidak dapat
dibandingkan antar Negara, karena konsep pendapatan, unit populasi dan cakupan
survey berbeda.
Ravallion dan Datt (1996) menggunakan data
India:
§ proxy dari pendapatan perkapita dengan
melogaritma jumlah produk domestik (dalam nilai riil) per orang (1951=0)
§ proxy tingkat kesenjangan adalah indeks Gini
dari konsumsi perorang (%)
Hasilnya menunjukkan tahun 1950an-1990an
rata-rata pendapatan perkapita meningkat dan tren perkembangan tingkat
kesenjangan menurun (negative). Ranis, dkk (1977) untuk China menunjukkan
korelasi negative antara pendapatan dan kesenjangan.
E.
Indikator Kesenjangan dan
Kemiskinan
Foster
(1984) memperkenalkan 3 indkator untuk mengukur kemiskinan:
a)
The
incidence of poverty (rasio H) yaitu % dari populasi yang hidup adlam keluarga
dengan pengeluaran konsumsi perkapita dibawah garis kemiskinan
b)
The
depth of poverty yaitu menggambarkan dalamnya kemiskinan disuatu wilayah yang
diukur dengan Poverty Gap Index / indeks jarak kemiskinan (IJK) yaitu
mengestimasi jarak pendapatan orang miskin dari garis kemiskinan sebagai
proporsi dari garis tersebut.
Pa = (1/n)
a untuk semua yi <z
Indeks Pa sensitive terhadap distribusi, jika a>1.
The severity of poverty/Distributionally
Sensitive Index yaitu mengukur tingkat keparahan kemiskinan dengan indeks
keparahan kemiskinan (IKK) atau mengetahui intensitas kemiskinan
F.
Faktor Penyebab Kemiskinan
Adapun
faktor-faktor penyebab terjadinya kemiskinan dapat dikategorikan dalam dua hal
berikut ini :
·
Faktor Internal (dari dalam diri individu)
Yaitu
berupa kekurangmampuan dalam hal :
a. Fisik misalnya cacat, kurang gizi,
sakit-sakitan.
b. Intelektual misalnya
kurangnya pengetahuan, kebodohan, kekurangtahuan informasi.
c.
Mental emosional misalnya
malas, mudah
menyerah, putus asa temperamental.
d. Spritual misalnya tidak jujur, penipu,
serakah, tidak disiplin.
e. Sosial
psikologis misalnya kurang
motivasi, kurang percaya
diri, depresi/ stres, kurang relasi, kurang mampu mencari dukungan.
f.
Ketrampilan misalnya tidak mempunyai keahlian yang sesuai dengan permintaan
lapangan kerja.
g. Asset misalnya tidak memiliki stok kekayaan
dalam bentuk tanah, rumah, tabungan, kendaraan dan modal kerja
·
Faktor Eksternal (berada di luar diri
individu atau keluarga)
Yang menyebabkan terjadinya
kemiskinan antara lain :
a. Terbatasnya pelayanan sosial dasar.
b. Tidak dilindunginya hak atas kepemilikan
tanah.
c. Terbatasnya lapangan
pekerjaan formal dan
kurang terlindunginya
usaha-usaha sektor informal.
d. Kebijakan perbankan terhadap layanan
kredit mikro dan tingkat bunga yang tidak endukung sektor usaha mikro.
e. Belum terciptanya sistim ekonomi
kerakyatan dengan prioritas sektor riil masyarakat banyak.
f. Sistem
mobilisasi dan pendayagunaan dana
sosial masyarakat yang belum optimal
seperti zakat.
g. Dampak sosial negatif dari program
penyesuaian struktural (structural Adjusment Program/ SAP).
h. Budaya yang kurang mendukung kemajuan dan
kesejahteraan.
i. Kondisi geografis yang sulit, tandus,
terpencil atau daerah bencana.
j. Pembangunan yang lebih berorientasi
fisik material.
k. Pembangunan ekonomi antar daerah yang
belum merata.
l. Kebijakan publik yang belum berpihak
kepada penduduk miskin.
G.
Kemiskinan di Indonesia
M Antara pertengahan tahun 1960-an
sampai tahun 1996, waktu Indonesia berada dibawah kepemimpinan Pemerintahan Orde Baru Suharto, tingkat kemiskinan di Indonesia
menurun drastis - baik di desa maupun di kota - karena pertumbuhan ekonomi yang
cukup kuat dan adanya program-program penanggulangan kemiskinan yang efisien.
Selama pemerintahan Suharto angka penduduk Indonesia yang tinggal di bawah
garis kemiskinan menurun drastis, dari awalnya sekitar setengah dari jumlah
keseluruhan populasi penduduk Indonesia, sampai hanya sekitar 11 persen saja.
Namun, ketika pada tahun 1990-an Krisis Finansial Asia terjadi, tingkat kemiskinan melejit
tinggi, dari 11 persen menjadi 19.9 persen di akhir tahun 1998, yang berarti
prestasi yang sudah diraih Orde Baru hancur seketika.
Tabel berikut ini memperlihatkan angka
kemiskinan di Indonesia, baik relatif maupun absolut:
STATISTIK KEMISKINAN DAN KETIDAKSETARAAN DI
INDONESIA:
2006
|
2007
|
2008
|
2009
|
2010
|
2011
|
2012
|
2013
|
2014
|
|
Kemiskinan Relatif
(% dari populasi) |
17.8
|
16.6
|
15.4
|
14.2
|
13.3
|
12.5
|
11.7
|
11.5
|
11.0
|
Kemiskinan Absolut
(dalam jutaan) |
39
|
37
|
35
|
33
|
31
|
30
|
29
|
29
|
28
|
Koefisien Gini/
Rasio Gini |
-
|
0.35
|
0.35
|
0.37
|
0.38
|
0.41
|
0.41
|
0.41
|
-
|
Sumber: Bank Dunia dan Badan Pusat
Statistik (BPS)
Dalam beberapa tahun belakangan ini
angka kemiskinan di Indonesia memperlihatkan penurunan yang signifikan.
Meskipun demikian, diperkirakan penurunan ini akan melambat di masa depan.
Mereka yang dalam beberapa tahun terakhir ini mampu keluar dari kemiskinan
adalah mereka yang hidup di ujung garis kemiskinan yang berarti tidak
diperlukan sokongan yang kuat untuk mengeluarkan mereka dari kemiskinan. Namun
sejalan dengan berkurangnya kelompok tersebut, kelompok yang berada di bagian
paling bawah garis kemiskinanlah yang sekarang harus dibantu untuk bangkit. Ini
lebih rumit dan akan menghasilkan angka penurunan tingkat kemiskinan yang
berjalan lebih lamban dari sebelumnya.
KEMISKINAN
DI INDONESIA DAN DISTRIBUSI GEOGRAFIS
Salah satu karakteristik kemiskinan di
Indonesia adalah perbedaan yang begitu besar antara nilai kemiskinan relatif
dan nilai kemiskinan absolut dalam hubungan dengan lokasi geografis.
PROPINSI
DENGAN ANGKA KEMISKINAN RELATIF TINGGI
Papua
|
27.8%
|
Papua Barat
|
26.3%
|
Nusa Tenggara Timur
|
19.6%
|
Maluku
|
18.4%
|
Gorontalo
|
17.4%
|
¹ persentase berdasarkan total
penduduk per propinsi bulan September 2014
Sumber: Badan Pusat Statistik (BPS)
Sumber: Badan Pusat Statistik (BPS)
Tingkat kemiskinan di
propinsi-propinsi di Indonesia Timur ini, di mana sebagian besar penduduknya
adalah petani, kebanyakan ditemukan di wilayah pedesaan. Di daerah tersebut
masyarakat adat sudah lama hidup di pinggir proses dan program pembangunan.
Migrasi ke daerah perkotaan adalah satu-satunya cara untuk mendapatkan pekerjaan dan - dengan demikian - menghindari
kemiskinan.
Bertentangan dengan angka kemiskinan
relatif di Indonesia Timur, tabel di bawah ini menunjukkan angka kemiskinan
absolut di Indonesia yang berkonsentrasi di pulau Jawa dan Sumatra.
PROPINSI
DENGAN ANGKA KEMISKINAN ABSOLUT TINGGI
Jawa Timur
|
4.7
|
Jawa Tengah
|
4.6
|
Jawa Barat
|
4.2
|
Sumatra Utara
|
1.4
|
Lampung
|
1.1
|
¹ dalam jumlah jutaan pada bulan September 2014
Sumber: Badan Pusat Statistik (BPS)
Sumber: Badan Pusat Statistik (BPS)
Stabilitas harga makanan (khususnya beras) adalah masalah penting bagi
Indonesia sebagai negara yang penduduknya menghabiskan sebagian besar
pendapatan mereka untuk membeli beras. Oleh karena itu,tekanan inflasi harga beras (misalnya karena gagal
panen) dapat memiliki konsekuensi serius bagi mereka yang miskin atau hampir
miskin dan secara signifikan menaikkan persentase angka kemiskinan di negara
ini.
Angka kemiskinan kota adalah
persentase penduduk perkotaan yang tinggal di bawah garis kemiskinan kota
tingkat nasional. kemiskinan desa semakin berkurang mulai dari tahun 2006.
2005
|
2006
|
2007
|
2008
|
2009
|
2010
|
2011
|
2012
|
2013
|
2014
|
|
Kemiskinan Kota
(% penduduk yg tinggal di baw
ah garis kemiskinan kota)
|
11.7
|
13.5
|
12.5
|
11.6
|
10.7
|
9.9
|
9.2
|
8.4
|
8.5
|
8.2
|
Sumber: Bank Dunia dan Badan Pusat
Statistik (BPS)
Terlihat bahwa pada tahun
2005 dan 2006 terjadi peningkatan angka kemiskinan. Ini terjadi terutama karena
adanya pemotongan subsidi BBM yang dilakukan oleh pemerintahan presiden SBY
diakhir tahun 2005. Harga minyak yang secara internasional naik membuat pemerintah
terpaksa mengurangi subsidi BBM guna meringankan defisit anggaran pemerintah.
Konsekuensinya adalah inflasidua digit antara 14 sampai 19 persen
(yoy) terjadi sampai oktober 2006.
H.
Kebijakan Anti kemiskinan.
Hubungan antara pertumbuhan ekonomi,
kebijakan, kelembagaan dan penurunan kemiskinan disajikan dan gambar berikut
ini.
Kebijakan
lembaga dunia mencakup World Bank, ADB, UNDP, ILO, dsb.
World
bank (1990) peprangan melawan kemiskinan melalui:
a)
Pertumbuhan
ekonomi yang luas dan menciptakan lapangan kerja yang padat karya
b)
Pengembangan
SDM
c)
Membuat
jaringan pengaman social bagi penduduk miskin yang tidak mampu memperoleh dan
menikmati pertumbuhan ekonomi dan lapangan kerja serta pengembangan SDM sebagai
akibat dari cacat fisik dan mental, bencana, konflik social atau wilayah yang
terisolasi
World bank (2000) memberikan resep baru dalam
memerangi kemiskinan dengan 3 pilar:
a)
Pemberdayaan
yaitu proses peningkatan kapasitas penduduk miskin untuk mempengaruhi
lembaga-lembaga pemerintah yang mempengaruhi kehidupan mereka dengan memperkuat
partisipasi mereka dalam proses politik dan pengambilan keputusan tingkat
local.
b)
Keamanan
yaitu proteksi bagi orang miskin terhadap goncangan yang merugikan melalui
manajemen yang lebih baik dalam menangani goncangan ekonomi makrodan jaringan
pengaman yang lebih komprehensif
c)
Kesempatan
yaitu proses peningkatan akses kaum miskin terhadap modal fisik dan modal
manusia dan peningkatan tingkat pengembalian dari asset asset tersebut.
ADB (1999) menyatakan ada 3 pilar untuk
mengentaskan kemiskinan:
a)
Pertumbuhan
berkelanjutan yang prokemiskinan
b)
Pengembangan
social yang mencakup: pengembangan SDM, modal social, perbaikan status
perempuan, dan perlindungan social
c)
Manajemen
ekonomi makro dan pemerintahan yang baik yang dibutuhkan untuk mencapai
keberhasilan
d) Factor tambahan:
·
Pembersihan
polusi udara dan air kota-kota besar
·
Reboisasi
hutan, penumbuhan SDM, dan perbaikan tanah
Strategi oleh pemerintah dalam mengentaskan
kemiskinan:
a)
Jangka
pendek yaitu membangun sector pertanian, usaha kecil dan ekonomi pedesaan
b)
Jangka
menenga\h dan panjang mencakup:
·
Pembangunan
dan penguatan sector swasta
·
Kerjasama
regional
·
Manajemen
APBN dan administrasi
·
Desentralisasi
·
Pendidikan
dan kesehatan
·
Penyediaan
air bersih dan pembangunan perkotaan
·
Pembagian
tanah pertanian yang merata
Sumber :
·
http://cynthiaprimadita.blogspot.co.id/2011/03/bab-i-pembahasan.html
http://sabda.org/misi/kemiskinan_cara_mengatasinya
http://sabda.org/misi/kemiskinan_cara_mengatasinya
·
http://blog.uin-malang.ac.id/nita/2011/01/06/kemiskinan-dan-kesenjangan-pendapatan// https://andinurhasanah.wordpress.com/2012/11/08/kemiskinan-dan-kesenjangan/










0 komentar:
Posting Komentar